With respect to arc length

These integrals are of the form

\begin{displaymath}
\int_C f(x,y,z)  \mathrm{d}s
\end{displaymath}

which can be reparameterized as

\begin{displaymath}
\int_a^b f\left(x(t),y(t),z(t)\right) \sqrt{{\left(\frac{\m...
...{\left(\frac{\mathrm{d}z}{\mathrm{d}t}\right)}^2} \mathrm{d}t
\end{displaymath}

or more compactly as

\begin{displaymath}
\int_a^b f\left(\mathbf{r}(t)\right) \vert\mathbf{r}'(t)\vert \mathrm{d}t.
\end{displaymath}

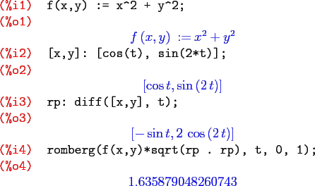
For example, let's start with $f(x,y)=x^2+y^2$. We will integrate along the curve $C$ parameterized by $\langle \cos t, \sin 2t\rangle$ for $0\leq t\leq 1$.


\begin{maximasession}
f(x,y) := x^2 + y^2;
[x,y]: [cos(t), sin(2*t)];
rp: diff([...
...x,y)*sqrt(rp . rp), t, 0, 1); \\
\o4. 1.635879048260743 \\
\end{maximasession}



G. Jay Kerns 2009-12-01